Chinese Journal of Chemical Education
 作者投稿
注册
   找回密码    读者中心
专家登录 编委登录 编辑登录 主编登录  
 
快速检索 高级检索
  期刊浏览
当期目录

ISSN 1003-3807
CN 10-1515/O6
  2025年 第46卷 第24期 出版日期: 2025-12-18

本期栏目:

《化学教育》订阅通知
第46卷第24期中英文目次
教师教育
职业教育
非化学专业化学教育
研究生教育
调研报告
化学·生活·社会
课程·教材·评价
理论教学
实验教学
化学史与化学史教育
选择 | 合并摘要 | 导入文献管理工具
 第46卷第24期中英文目次
第46卷第24期中英文目次
化学教育(中英文). 2025, 46 (24): 0
 支持材料 Top
PDF (385KB) ( 6 )
查看本文摘要
引用本文

 化学·生活·社会
新型非共价相互作用:突破范德华力与氢键的范畴*
姚秋丽, 黄永斌, 袁泽利, 王安俊
化学教育(中英文). 2025, 46 (24): 1-6
DOI: 10.13884/j.1003-3807hxjy.2025030248
 支持材料 Top
PDF (2753KB) ( 13 )
查看本文摘要
引用本文
新型非共价相互作用:突破范德华力与氢键的范畴<sup>*</sup>
在现有的本科化学课程中,针对非共价相互作用的内容多数局限于范德华力和氢键,然而,在过去20年中,基于卤素、氧族、氮族、硼族和碳族等元素的其他非共价相互作用被相继...
在现有的本科化学课程中,针对非共价相互作用的内容多数局限于范德华力和氢键,然而,在过去20年中,基于卤素、氧族、氮族、硼族和碳族等元素的其他非共价相互作用被相继发现并得到广泛研究,其在药物设计、生物化学、聚合物化学、有机催化等领域展现出重要的应用价值。因而,与时俱进地在本科教学体系中补充这些内容对于完善课程教学内容、填补学生知识盲区、显示化学学科继承与发展的科学精神显得尤为重要。

 课程·教材·评价
知识图谱和AI助教赋能BOPPPS教学模式的有机化学课程教学改革*
王伟坤, 杨思彤, 王昌青, 刘玉峰, 张朋美, 沈小宁, 魏珍, 张慧芳, 杜层层, 谭洪华
化学教育(中英文). 2025, 46 (24): 7-17
DOI: 10.13884/j.1003-3807hxjy.2025070239
 支持材料 Top
PDF (51066KB) ( 3 )
查看本文摘要
引用本文
知识图谱和AI助教赋能BOPPPS教学模式的有机化学课程教学改革<sup>*</sup>
基于本校有机化学教学实际,深入分析学情特点,通过构建知识图谱和开发AI助教,实现了人工智能技术与BOPPPS教学模式的有机融合,并对评价体系进行了智能化改革。实...
基于本校有机化学教学实际,深入分析学情特点,通过构建知识图谱和开发AI助教,实现了人工智能技术与BOPPPS教学模式的有机融合,并对评价体系进行了智能化改革。实践结果表明,改革措施有效促进了学生知识体系的结构化构建,显著提高了课堂学习的效果,实现了“教—学—评”的全面性提升,同时通过课程思政元素的融入培养了学生的社会责任感。本研究为有机化学教学的现代化转型提供了可行方案,也为教学改革提供了新思路。

 理论教学
基于主题微视频的结构化学O-PIRTAS翻转课堂实践*——量子力学产生的背景
王会芳
化学教育(中英文). 2025, 46 (24): 18-24
DOI: 10.13884/j.1003-3807hxjy.2025050165
 支持材料 Top
PDF (4576KB) ( 7 )
查看本文摘要
引用本文
基于主题微视频的结构化学O-PIRTAS翻转课堂实践<sup>*</sup>——量子力学产生的背景
以探索O-PIRTAS翻转课堂模式在结构化学教学中的具体应用为主线,结合“量子力学产生的背景”教案,以“海森堡不确定关系”的讲授过程为例,分析了结构化学开展翻转...
以探索O-PIRTAS翻转课堂模式在结构化学教学中的具体应用为主线,结合“量子力学产生的背景”教案,以“海森堡不确定关系”的讲授过程为例,分析了结构化学开展翻转课堂的必要性,阐述了教师在翻转课堂准备与实施阶段需要落实的任务和关键事项,提出了基于主题微视频的结构化学O-PIRTAS翻转课堂设计方案。该方案融入了课程思政,实现了知识传授和价值引领的统一。

 实验教学
“虚前实后”分段教学模式在仪器分析实验教学中的创新实践:微波消解虚拟前处理与ICP-OES实体检测*
赵亚明, 齐菊锐, 郑海娇, 李松芮, 彭宇, 梁宏伟
化学教育(中英文). 2025, 46 (24): 25-31
DOI: 10.13884/j.1003-3807hxjy.2025070075
 支持材料 Top
PDF (6624KB) ( 2 )
查看本文摘要
引用本文
“虚前实后”分段教学模式在仪器分析实验教学中的创新实践:微波消解虚拟前处理与ICP-OES实体检测<sup>*</sup>
针对仪器分析实验“电感耦合等离子体发射光谱法(ICP-OES)测定食品中多种微量元素”中微波消解前处理的高风险、高成本、低效率问题,创新性提出“虚前实后”分段教...
针对仪器分析实验“电感耦合等离子体发射光谱法(ICP-OES)测定食品中多种微量元素”中微波消解前处理的高风险、高成本、低效率问题,创新性提出“虚前实后”分段教学模式。该模式依托自主开发的微波消解虚拟实训平台,将虚拟前处理与实体检测有机结合,构建了“学-操-考-评”四维教学体系与“虚拟实验-实体操作-成果输出”三维考核体系。教学实践表明,相较于传统实验教学模式,该模式通过虚实融合优化教学资源,不仅大幅降低了教学风险与成本,还提升了学生的安全意识、实验技能与数字素养,显著提升了教学质量与学习效果。为高危前处理类实验的数字化转型提供参考价值,对实验教学改革具有重要示范意义。

基于ASP架构的化学实验智能管理平台构建*——水的总硬度测定实验
邓文芳, 陈超, 秦聪, 杨盛, 方正法, 马铭, 谭亮
化学教育(中英文). 2025, 46 (24): 32-36
DOI: 10.13884/j.1003-3807hxjy.2025030104
 支持材料 Top
PDF (4418KB) ( 4 )
查看本文摘要
引用本文
基于ASP架构的化学实验智能管理平台构建<sup>*</sup>——水的总硬度测定实验
以经典教学项目水的总硬度测定实验为切入点,创新性地构建基于ASP(Application Service Provider)服务架构与Access数据库的动态数...
以经典教学项目水的总硬度测定实验为切入点,创新性地构建基于ASP(Application Service Provider)服务架构与Access数据库的动态数据处理平台。该平台通过在线计算模块、实时数据协同和可视化分析系统3大核心功能,实现了实验数据的智能化处理、全过程可追溯管理。教学实践表明,该技术方案不仅使传统EDTA滴定法的数据处理效率提升,还提升了异常数据的溯源分析能力,为分析化学实验教学的数字化转型提供了可复制的技术范式。

共价有机框架材料合成与金属离子荧光检测综合实验设计*
郝龙, 宋祖伟, 龚良玉, 王雪凤, 王杰, 唐斯甫, 徐秀玲, 宁静
化学教育(中英文). 2025, 46 (24): 37-43
DOI: 10.13884/j.1003-3807hxjy.2025050175
 支持材料 Top
PDF (8977KB) ( 44 )
查看本文摘要
引用本文
共价有机框架材料合成与金属离子荧光检测综合实验设计<sup>*</sup>
基于“学科交叉-数字赋能-价值塑造”的三维融合理念,设计了一个以共价有机框架(COF)材料为载体的综合性实验,内容包括COF材料自下而上合成路线的探索,现代分析...
基于“学科交叉-数字赋能-价值塑造”的三维融合理念,设计了一个以共价有机框架(COF)材料为载体的综合性实验,内容包括COF材料自下而上合成路线的探索,现代分析测试技术表征,重金属离子的荧光检测应用等,构建材料合成、结构解析到功能验证的完整研究框架,有效串联专业核心基础课程。通过开设该实验,学生可以在真实科研情境中,掌握COF材料的前沿知识、实验操作、数字模拟和数据处理方法,强化知识迁移意识,提升解决复杂问题的能力。

连续流化学在本科教学实验室中的应用——固相多肽自动合成
苏酌, 田浩澜, 李蕾, 苏贤斌
化学教育(中英文). 2025, 46 (24): 44-52
DOI: 10.13884/j.1003-3807hxjy.2025040045
 支持材料 Top
PDF (9198KB) ( 24 )
查看本文摘要
引用本文
连续流化学在本科教学实验室中的应用——固相多肽自动合成
在当今化学领域,自动化流动化学技术在合成活性药物成分(API)方面发展迅速。因此,结合创新性人才培养的需求,让学生接触并掌握最前沿的化学自动化合成技术,显得尤为...
在当今化学领域,自动化流动化学技术在合成活性药物成分(API)方面发展迅速。因此,结合创新性人才培养的需求,让学生接触并掌握最前沿的化学自动化合成技术,显得尤为关键。介绍一种面向本科生实验教学的多肽合成装置,该装置融合流动化学与自动合成技术,用于合成多肽药物阿基瑞林。学生借助此装置,综合运用多学科知识,深入理解流动化学技术原理。创新性地将流动化学理念与自动编程技术纳入教学框架,实现化学工程与信息科学深度交叉,系统化培养现代化学人才核心素养。

AI赋能化学人才培养路径:基于AI创新教育平台的气相色谱数据分析教学辅助系统的构建
蒋浩阳, 畅正轩, 赵卫光
化学教育(中英文). 2025, 46 (24): 53-60
DOI: 10.13884/j.1003-3807hxjy.2025040201
 支持材料 Top
PDF (9896KB) ( 7 )
查看本文摘要
引用本文
AI赋能化学人才培养路径:基于AI创新教育平台的气相色谱数据分析教学辅助系统的构建
本研究聚焦气相色谱数据的智能化解析与教学场景的深度融合,基于AI创新教育平台(NK-GeniOS),开发了一套面向卤代烷制备实验的气相色谱AI解析的教学辅助系统...
本研究聚焦气相色谱数据的智能化解析与教学场景的深度融合,基于AI创新教育平台(NK-GeniOS),开发了一套面向卤代烷制备实验的气相色谱AI解析的教学辅助系统。通过编写Python脚本集成多模态AI工具,开发出了双通道交互的气相色谱数据的批量识别、成分解析及实验评价功能的智能引擎,学生端通过可视化界面实现数据自主上传、实验改进建议获取及个性化实验报告生成,教师端则可以快速了解班级实验情况、存在的共性问题和异常情况,进行有针对性的教学。该研究是在实验教学过程中,采用任务驱动型学习模式,通过招募兴趣小组完成,并以成果汇报、问题讨论等形式与同班学生深度交流技术路径和解决问题的思路。该过程体现了分层赋能的教育理念,使所有学生都能获得不同程度的科研体验,也探索了人工智能时代创新性人才培养的新路径。

加强晶体化学和分子结构模型理解的硫酸铜晶体制备科普实践*
熊玲慧, 郑博澜, 姚平平, 杨宗瑾, 滕穞, 龙应钊, 田振芬, 戴升
化学教育(中英文). 2025, 46 (24): 61-65
DOI: 10.13884/j.1003-3807hxjy.2024080115
 支持材料 Top
PDF (5059KB) ( 12 )
查看本文摘要
引用本文
加强晶体化学和分子结构模型理解的硫酸铜晶体制备科普实践<sup>*</sup>
化学科普实验因其生动有趣和互动性,已成为重要的科学传播载体。选取菱形六面体CuSO4·5H2O晶体培养实验,旨在通过...
化学科普实验因其生动有趣和互动性,已成为重要的科学传播载体。选取菱形六面体CuSO4·5H2O晶体培养实验,旨在通过线上和线下的科普展示,结合理论与实际操作,加深学生对晶体化学知识及分子结构模型的理解。同时,基于实验中合成的CuSO4·5H2O晶体,设计了相应的摆件、明信片、动漫钥匙扣等科普文创产品进行展示,实现化学产物与艺术的有机结合,从而激发青少年和大众对化学学科的认知与探索兴趣。

 教师教育
基于新质生产力发展的师范生科普能力:意义、框架、困境与策略*
张四方, 姚壮壮, 闻洪林, 杨晓奇
化学教育(中英文). 2025, 46 (24): 66-71
DOI: 10.13884/j.1003-3807hxjy.2025070087
 支持材料 Top
PDF (1043KB) ( 4 )
查看本文摘要
引用本文
在新质生产力发展的时代背景下,提升师范生科普能力是推动科技成果普及、服务国家创新驱动发展战略的重要途径。为回应新质生产力对科普人才的需求,研究构建了师范生科普能...
在新质生产力发展的时代背景下,提升师范生科普能力是推动科技成果普及、服务国家创新驱动发展战略的重要途径。为回应新质生产力对科普人才的需求,研究构建了师范生科普能力的结构框架;针对当前师范生科普能力培养中存在的现实困境,提出了构建科普能力课程模块、实施专业课程科普化改造等系统性破解策略,以促进师范生科普能力的有效提升,适应新质生产力发展对教育人才的新要求。

 职业教育
胶体项目式教学:豆腐制作中的现代创新、文化传承与科学探究
顾瑶
化学教育(中英文). 2025, 46 (24): 72-79
DOI: 10.13884/j.1003-3807hxjy.2025060082
 支持材料 Top
PDF (7421KB) ( 7 )
查看本文摘要
引用本文
胶体项目式教学:豆腐制作中的现代创新、文化传承与科学探究
以“豆腐制作”活动为主线,教学过程设置3个任务,开展胶体教学。通过“琼液豆浆-初识胶体”,观察并剖析胶体的丁达尔现象,进而认识胶体;通过“点浆之术-聚沉胶体”,...
以“豆腐制作”活动为主线,教学过程设置3个任务,开展胶体教学。通过“琼液豆浆-初识胶体”,观察并剖析胶体的丁达尔现象,进而认识胶体;通过“点浆之术-聚沉胶体”,花样点浆,进行聚沉操作,观察聚沉及电泳现象,进一步推知胶粒的结构,探讨不同的聚沉原理;通过“品味软玉-三品豆腐”,拓展胶体聚沉性质的应用,并以豆腐喻人生。在完成胶体知识内化的同时,解决实际问题。构建“文化传承-科学探究-价值引领”的素质培养模式,将任务驱动、实验探究和课程思政有机融合,提升学生的化学学科核心素养与文化自信。项目情境及任务驱动有效增强学生的学习兴趣,促进知识迁移,并深化对中华优秀传统文化的认同,为化学课程项目式教学、优秀传统文化传承与课程思政的融合提供可借鉴的路径。

 非化学专业化学教育
生成式AI赋能高分子材料专业实习教学研究*
佘砚, 左沛元, 庄启昕, 牛德超, 顾金楼, 徐启杰, 滕鑫
化学教育(中英文). 2025, 46 (24): 80-87
DOI: 10.13884/j.1003-3807hxjy.2025040264
 支持材料 Top
PDF (2697KB) ( 15 )
查看本文摘要
引用本文
生成式AI赋能高分子材料专业实习教学研究<sup>*</sup>
材料专业实习教学受限于安全规范与生产复杂性,学生参与度不足,形成了“看得见摸不着”的能力培养困境。以高分子材料专业实习为例,通过构建专业实习AI助手,整合企业生...
材料专业实习教学受限于安全规范与生产复杂性,学生参与度不足,形成了“看得见摸不着”的能力培养困境。以高分子材料专业实习为例,通过构建专业实习AI助手,整合企业生产数据、操作规范等资源,提供场景化的精准指导;结合虚拟仿真实验,打造沉浸式训练环境;开发智能问答系统,实现工艺参数调整、异常处理等复杂问题的实时交互。教学评价显示,学生理论成绩提升8.15%,实践能力提高17.23%,实现了从“被动观摩”到“主动实践”的转变,为工程教育数智化转型提供可推广的范例。

“预测+验证”的探究任务驱动教学法在药物化学课程中的应用*——药物体内代谢
陆世惠
化学教育(中英文). 2025, 46 (24): 88-93
DOI: 10.13884/j.1003-3807hxjy.2025050026
 支持材料 Top
PDF (1856KB) ( 3 )
查看本文摘要
引用本文
药物的体内代谢是药物化学课程的教学要点与难点之一。本课题组提出药物主要代谢物和原形排泄物的预测步骤与方法,并探索以“预测+验证”的方法进行药物体内代谢的教学。先...
药物的体内代谢是药物化学课程的教学要点与难点之一。本课题组提出药物主要代谢物和原形排泄物的预测步骤与方法,并探索以“预测+验证”的方法进行药物体内代谢的教学。先通过几个实例以讲授式教学法把该预测步骤与方法传授给学生,同时验证预测是否准确。接着实施任务驱动教学法,要求学生预测一个药物的主要代谢物(原形排泄物)并进行验证。实践结果表明,该法的教学效果比较理想并达到金课建设标准。

基于双碳目标和高校快递包装碳足迹核算的环境专业综合实验设计*
王新强, 马岚婷
化学教育(中英文). 2025, 46 (24): 94-100
DOI: 10.13884/j.1003-3807hxjy.2025020183
 支持材料 Top
PDF (2523KB) ( 4 )
查看本文摘要
引用本文
基于双碳目标和高校快递包装碳足迹核算的环境专业综合实验设计<sup>*</sup>
针对高校日益增长的快递量,在低碳发展背景下设计了一项面向环境专业的综合性实验。实验以快递包装碳足迹核算为核心,旨在帮助学生深入理解“双碳”目标的内涵。通过快递包...
针对高校日益增长的快递量,在低碳发展背景下设计了一项面向环境专业的综合性实验。实验以快递包装碳足迹核算为核心,旨在帮助学生深入理解“双碳”目标的内涵。通过快递包装全生命周期的碳排放测算,结合优化方案设计、样方分类、样品采集和数据分析等步骤,核算高校快递包装的碳排放量。结果显示,快递包装的原材料生产环节年排放量为163 t二氧化碳当量(t CO2e),占总排放量的72%,表明材料的回收再利用是最有效的降碳措施。此外,运输过程中化石燃料的消耗也是快递包装碳足迹的重要来源,可通过使用清洁能源的车辆加以替代。通过本实验,学生不仅能够掌握碳足迹核算的方法,还能深入了解不同包装材料、运输环节及废弃处理方式等对碳排放的具体影响。实验在强化学生低碳环保理念认知和提升综合实验能力的同时,还能激发其对绿色发展的学习兴趣,潜移默化地增强学生们的环境责任意识。

 研究生教育
研究生课程“功能材料与能源催化”案例教学素材库建设与教学应用*
王建凤, 李婧, 张裕, 朱伟钢, 张志成
化学教育(中英文). 2025, 46 (24): 101-108
DOI: 10.13884/j.1003-3807hxjy.2025040211
 支持材料 Top
PDF (7097KB) ( 18 )
查看本文摘要
引用本文
研究生课程“功能材料与能源催化”案例教学素材库建设与教学应用<sup>*</sup>
随着教育数智化时代的到来以及人工智能技术的迅猛发展,传统课堂教学模式正面临着转型的挑战与机遇。以天津大学“功能材料与能源催化”研究生课程为例,介绍了在这一背景下...
随着教育数智化时代的到来以及人工智能技术的迅猛发展,传统课堂教学模式正面临着转型的挑战与机遇。以天津大学“功能材料与能源催化”研究生课程为例,介绍了在这一背景下的教学改革探索。课程建设中引入案例教学法,构建了多维度的课程案例育人矩阵,并依托案例库开展课堂教学应用,在价值引领、课堂氛围营造及学生考核评价等方面均取得了良好效果,受到学生广泛好评。在此基础上,提出了未来的改进与提升计划,总结形成了一种切实有效、便于实施和推广的教学模式,为同类高校新能源与新材料相关学科的研究生培养提供了有益的借鉴。

融合科研前沿案例的研究生量子化学课程建设实践*
尤汀汀, 高宇坤, 殷鹏刚
化学教育(中英文). 2025, 46 (24): 109-114
DOI: 10.13884/j.1003-3807hxjy.2025040048
 支持材料 Top
PDF (6039KB) ( 4 )
查看本文摘要
引用本文
融合科研前沿案例的研究生量子化学课程建设实践<sup>*</sup>
围绕研究生科研工作需要,在研究生量子化学课程中开展了前沿案例实践探索,围绕谱学表征、反应机理、表面吸附和机器筛选等专题展开课程实践环节设计,在成果导向教育理念下...
围绕研究生科研工作需要,在研究生量子化学课程中开展了前沿案例实践探索,围绕谱学表征、反应机理、表面吸附和机器筛选等专题展开课程实践环节设计,在成果导向教育理念下融合课程学习、实践应用和研究生实际科研情况,提高学生的综合科研素养。

 调研报告
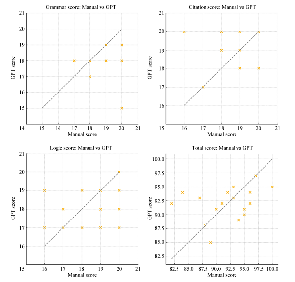
人工智能大语言模型在本科电化学课程论文评分中的可靠性评估*
杨春鹏
化学教育(中英文). 2025, 46 (24): 115-120
DOI: 10.13884/j.1003-3807hxjy.2025070238
 支持材料 Top
PDF (6044KB) ( 2 )
查看本文摘要
引用本文
人工智能大语言模型在本科电化学课程论文评分中的可靠性评估<sup>*</sup>
人工智能(AI)的迅速发展为化学教育带来了前所未有的机遇,同时也引发了诸多问题。本研究客观地评估了GPT-4在本科生电化学课程中对学生英文学术写作的评分能力。研...
人工智能(AI)的迅速发展为化学教育带来了前所未有的机遇,同时也引发了诸多问题。本研究客观地评估了GPT-4在本科生电化学课程中对学生英文学术写作的评分能力。研究采用多维度评分量表,从语法、引用规范、逻辑结构、科学准确性和批判性思维等5个方面,将GPT-4的评分结果与人类教师的评分进行对比分析。结果显示,GPT在语法评分方面与人工评分具有一定一致性,但在内容相关维度上的表现较差,表现为总分弱相关和多个维度间的低相关性;此外,GPT的评分在学生排名方面出现明显误判,可能对学术能力强但语言表达不够流畅的学生造成不利影响。上述结果表明,将GPT作为学生学术写作唯一评分者存在较大风险。为兼顾效率与公平性,建议构建一种“人机协同”的评分模式:利用GPT处理客观语言维度,同时保留人工评估对科学推理与内容深度的判断,从而维护学术诚信与评价的公正性。

 化学史与化学史教育
我国产学研协同创新机制的典范*——中国科学院与细旦、超细旦丙纶联合开发(1987—1997)
韩昊, 关晓武
化学教育(中英文). 2025, 46 (24): 121-129
DOI: 10.13884/j.1003-3807hxjy.2025010142
 支持材料 Top
PDF (3824KB) ( 2 )
查看本文摘要
引用本文
我国产学研协同创新机制的典范<sup>*</sup>——中国科学院与细旦、超细旦丙纶联合开发(1987—1997)
细旦、超细旦丙纶是我国在20世纪80—90年代自主研发的具有国际领先水平的高新技术成果。1987—1997年,历经超前攻关、技术研制与工业实验和产业化等3个阶段...
细旦、超细旦丙纶是我国在20世纪80—90年代自主研发的具有国际领先水平的高新技术成果。1987—1997年,历经超前攻关、技术研制与工业实验和产业化等3个阶段,我国成功实现了细旦、超细旦丙纶长丝的工业化生产,并完成了科技成果的转化。这一历程不仅成为我国产学研联合开发工程的典范,也反映了在科技转型背景下,我国科技活动与运行机制的变革。在此过程中,中国科学院化学研究所通过纺丝过程研究、专用料研制、纺丝技术的开发以及科技公司的创办,为细旦和超细旦丙纶的研发、工业化生产和商品化提供了坚实的支撑。聚焦于化学研究所的工作,系统考察其参与细旦、超细旦丙纶研发及产业化全过程,剖析20世纪80—90年代科技转型背景下,我国高技术产学研联合创新的组织模式及其特征,探讨中国科学院在其中的角色定位和关键作用,并从中提炼可供借鉴的科技运行经验,为新时代科技发展提供历史镜鉴。

 《化学教育》订阅通知
《化学教育》订阅通知
化学教育(中英文). 2025, 46 (24): 93
 支持材料 Top
PDF (1356KB) ( 5 )
查看本文摘要
引用本文

公告 More>>   
· 新年寄语
· 2026年《化学教育》订阅办法
· 投稿注意事项
· 严肃处理“学术不端行为”的公告
· 为《化学教育》代言
· 中学化学“名师工作室”稿件征集
· 免费发表和下载文章的办法
· 化学教育微信扫一扫
重要会议及培训通知
友情链接
· 中国科学技术协会
· 中国化学会
· 北京师范大学
广告服务
京ICP备05007538号  京公网安备11010802010741号
版权所有 © 《化学教育(中英文)》编辑部
地址:北京市海淀区 新街口外大街19号 北京师范大学化学楼217室
邮编:100875 电话:86-010-58807875 E-mail:hxjy-jce@263.net
技术支持: 北京玛格泰克科技发展有限公司